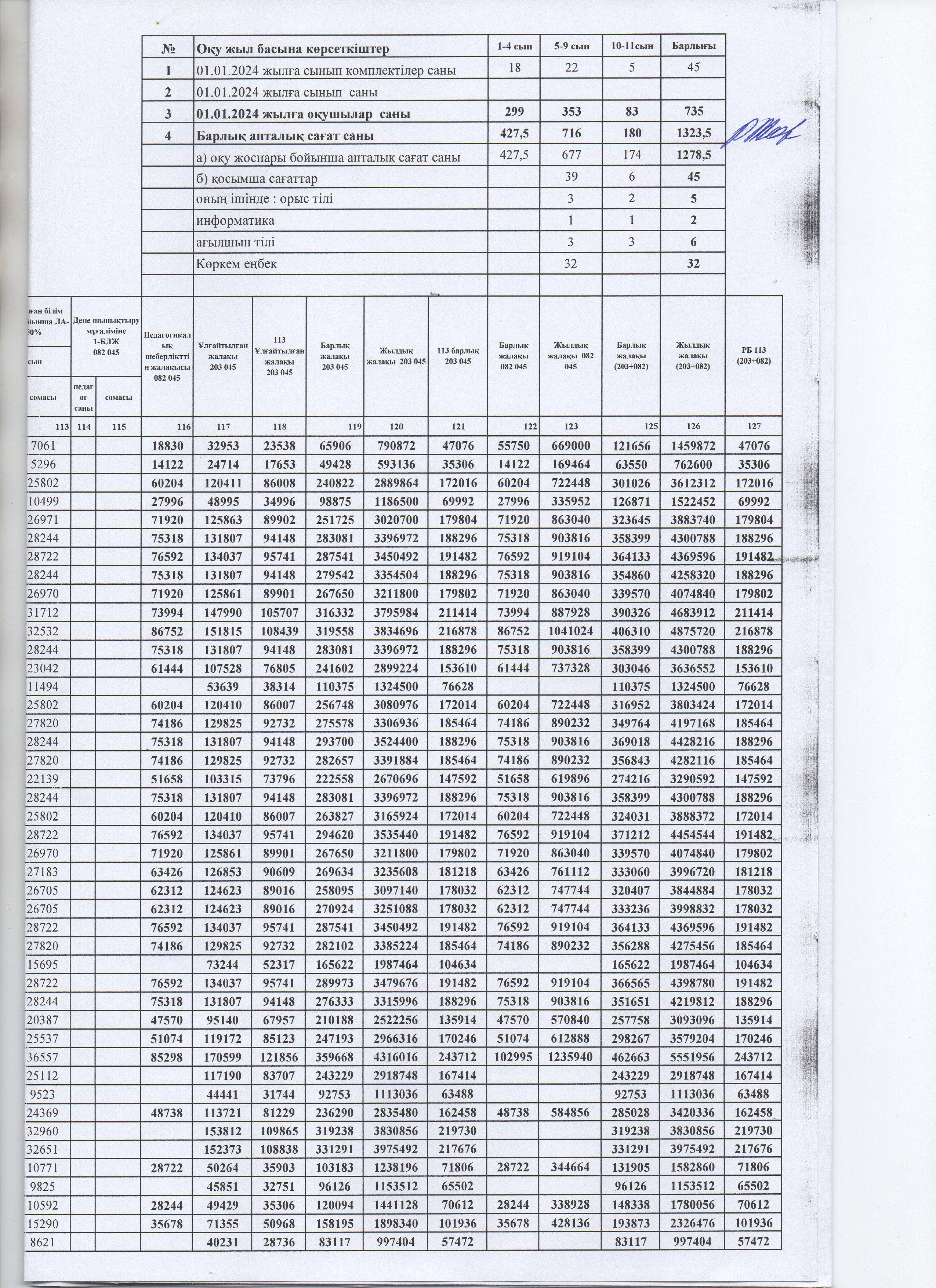
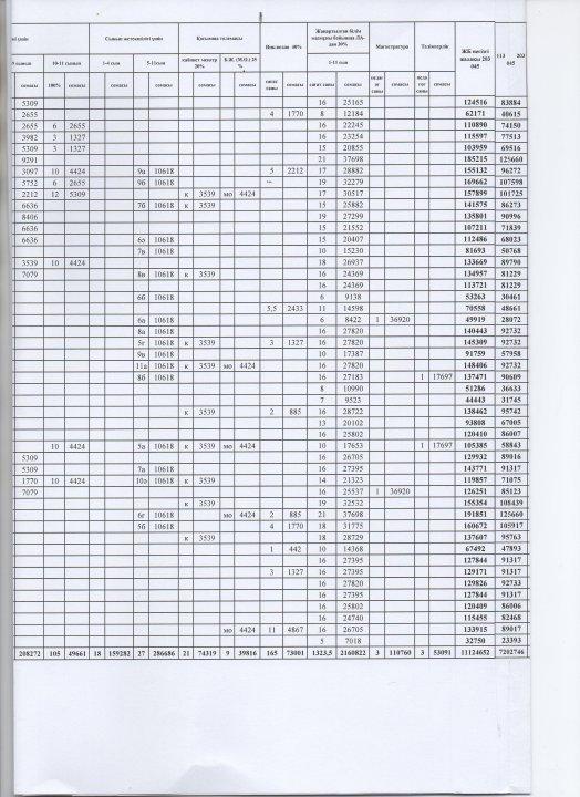
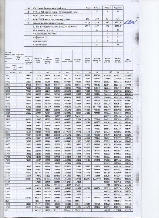
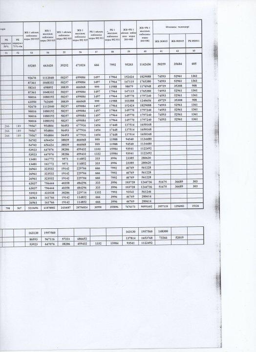
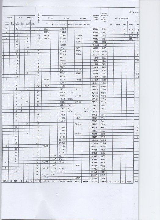
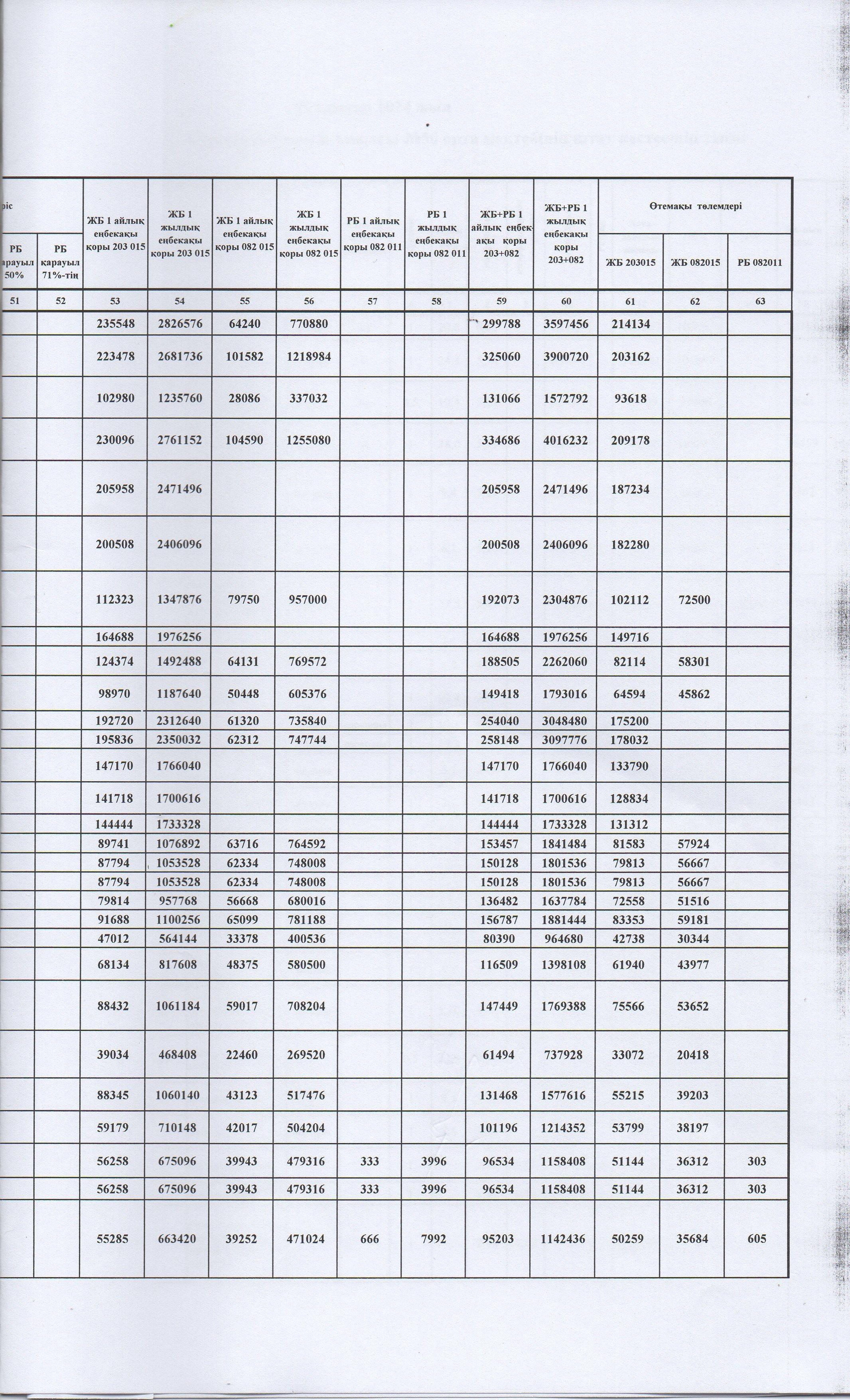
ТАРИФИКАЦИЯ, ШТАТТЫҚ КЕСТЕ 2023-2024 ҚАҢТАР » СШ №50
Жамбыл облысы әкімдігінің білім басқармасы
Тараз қаласының білім бөлімінің
«Өмірбек Жолдасбеков атындағы №50 орта мектеп»
коммуналдық мемлекеттік мекемесі
Қабылдау бөлімі :
+7(7262) 52-33-29
Есепші бөлімі:
+7(7262) 52-33-29
Нашар көрушілер
нұсқасы
» » ТАРИФИКАЦИЯ, ШТАТТЫҚ КЕСТЕ 2023-2024 ҚАҢТАР
28
сентябрь
2024

ТАРИФИКАЦИЯ, ШТАТТЫҚ КЕСТЕ 2023-2024 ҚАҢТАР